0%

DP IB Maths: AI HL

Topic Questions

Home / IB / Maths: AI HL / DP / Topic Questions / 3. Geometry & Trigonometry / 3.1 Geometry Toolkit


3.1 Geometry Toolkit

Question 1a

Marks: 2

    Assess your score
      

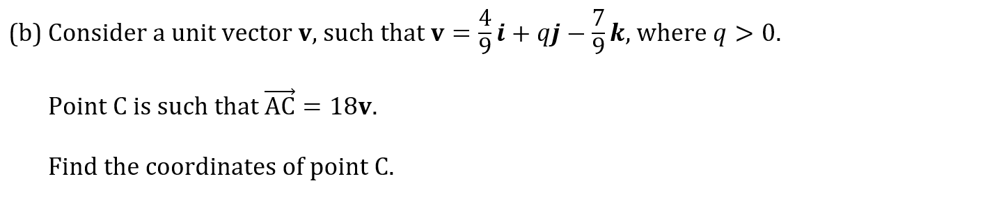
    Question 1b

    Marks: 4

      Assess your score
        

      Question 2a

      Marks: 4

        Assess your score
          

        Question 2b

        Marks: 2

          Assess your score
            

          Question 3a

          Marks: 4

            Assess your score
              
            Key Concepts
            Pythagoras

            Question 3b

            Marks: 5

              Assess your score
                
              Key Concepts
              Pythagoras

              Question 4a

              Marks: 2

                Assess your score
                  

                Question 4b

                Marks: 2

                  Assess your score
                    
                  Key Concepts
                  Pythagoras

                  Question 4c

                  Marks: 3

                    Assess your score
                      

                    Question 5a

                    Marks: 3

                      Assess your score
                        

                      Question 5b

                      Marks: 4

                        Assess your score
                          

                        Question 5c

                        Marks: 3

                          Assess your score
                            

                          Question 6a

                          Marks: 5

                            Assess your score
                              

                            Question 6b

                            Marks: 4

                              Assess your score
                                

                              Question 7a

                              Marks: 2

                                Assess your score
                                  

                                Question 7b

                                Marks: 6

                                  Assess your score
                                    

                                  Question 8a

                                  Marks: 6

                                    Assess your score
                                      

                                    Question 8b

                                    Marks: 4

                                      Assess your score
                                        

                                      Question 9a

                                      Marks: 4

                                        Assess your score
                                          
                                        Key Concepts
                                        Area of a Sector

                                        Question 9b

                                        Marks: 3

                                          Assess your score
                                            
                                          Key Concepts
                                          Area of a Sector

                                          Question 10a

                                          Marks: 3

                                          mi_q10a_3-1_geometry-toolkit_very-hard_ib_aa_hl_maths

                                            Assess your score
                                              

                                            Question 10b

                                            Marks: 4

                                            mi_q10b_3-1_geometry-toolkit_very-hard_ib_aa_hl_maths

                                              Assess your score
                                                

                                              Question 10c

                                              Marks: 4

                                              q10c_3-1_geometry-toolkit_very-hard_ib_aa_hl_maths

                                                Assess your score
                                                  

                                                Question 10d

                                                Marks: 3

                                                q10d_3-1_geometry-toolkit_very-hard_ib_aa_hl_maths

                                                  Assess your score
                                                    

                                                  Question 11a

                                                  Marks: 2

                                                  mi_q11a_3-1_geometry-toolkit_very-hard_ib_aa_hl_maths

                                                    Assess your score
                                                      

                                                    Question 11b

                                                    Marks: 4

                                                    mi_q11b_3-1_geometry-toolkit_very-hard_ib_aa_hl_maths

                                                      Assess your score
                                                        

                                                      Question 11c

                                                      Marks: 2

                                                      mi_q11c_3-1_geometry-toolkit_very-hard_ib_aa_hl_maths

                                                        Assess your score
                                                          

                                                        Question 12

                                                        Marks: 7

                                                        mi_q12b_3-1_geometry-toolkit_very-hard_ib_aa_hl_maths

                                                          Assess your score