0%

DP IB Maths: AA HL

Topic Questions

Home / IB / Maths: AA HL / DP / Topic Questions / 5. Calculus / 5.3 Integration


5.3 Integration

Question 1a

Marks: 3

    Assess your score
      

    Question 1b

    Marks: 4

      Assess your score
        

      Question 2

      Marks: 7

        Assess your score
          

        Question 3a

        Marks: 5

          Assess your score
            

          Question 3b

          Marks: 3

            Assess your score
              

            Question 4

            Marks: 6

              Assess your score
                

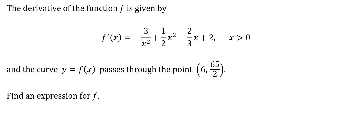
              Question 5

              Marks: 6

                Assess your score
                  

                Question 6a

                Marks: 3

                  Assess your score
                    

                  Question 6b

                  Marks: 6

                    Assess your score
                      

                    Question 7a

                    Marks: 4

                      Assess your score
                        

                      Question 7b

                      Marks: 6

                        Assess your score
                          

                        Question 8a

                        Marks: 4

                          Assess your score
                            

                          Question 8b

                          Marks: 5

                            Assess your score