0%

DP IB Maths: AA HL

Topic Questions

Home / IB / Maths: AA HL / DP / Topic Questions / 1. Number & Algebra / 1.4 Simple Proof & Reasoning


1.4 Simple Proof & Reasoning

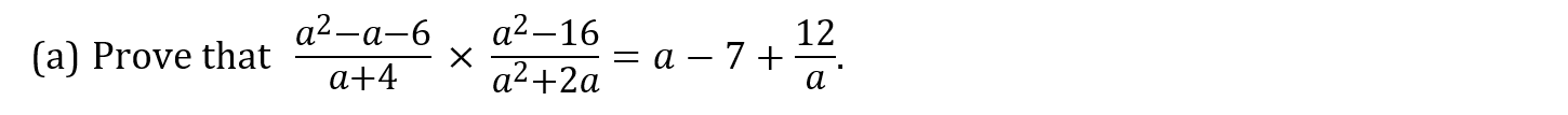
Question 1a

Marks: 3

    Assess your score
      
    Key Concepts
    Language of Proof

    Question 1b

    Marks: 2

      Assess your score
        
      Key Concepts
      Proof by Deduction

      Question 2

      Marks: 4

        Assess your score
          
        Key Concepts
        Proof by Deduction

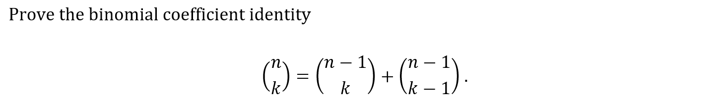
        Question 3

        Marks: 5

          Assess your score
            
          Key Concepts
          Proof by Deduction

          Question 4

          Marks: 5

            Assess your score
              
            Key Concepts
            Proof by Deduction

            Question 5a

            Marks: 4

              Assess your score
                
              Key Concepts
              Proof by Deduction

              Question 5b

              Marks: 1

                Assess your score
                  
                Key Concepts
                Language of Proof

                Question 6

                Marks: 4

                  Assess your score
                    

                  Question 7

                  Marks: 8

                    Assess your score
                      

                    Question 8

                    Marks: 8

                      Assess your score