0%

DP IB Maths: AA SL

Topic Questions

Home / IB / Maths: AA SL / DP / Topic Questions / 3. Geometry & Trigonometry / 3.6 Trigonometric Equations & Identities


3.6 Trigonometric Equations & Identities

Question 1a

Marks: 7

    Assess your score
      

    Question 1b

    Marks: 2

      Assess your score
        

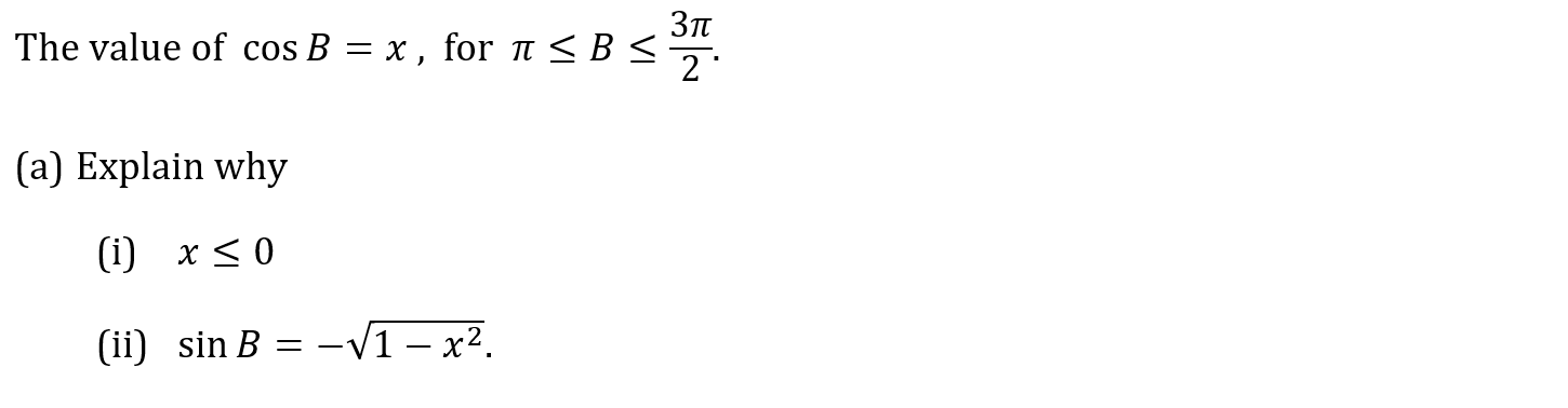
      Question 2a

      Marks: 3

        Assess your score
          

        Question 2b

        Marks: 5

          Assess your score
            

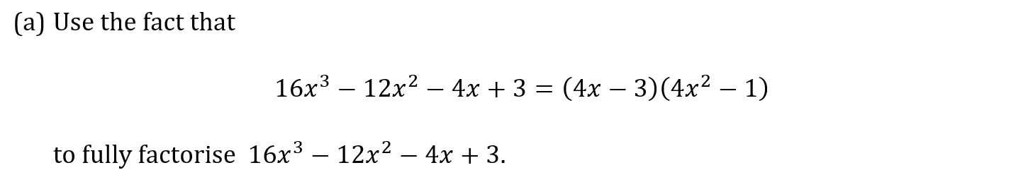
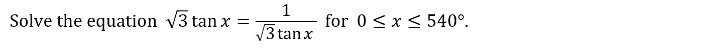
          Question 3

          Marks: 6

            Assess your score
              
            Key Concepts
            Double Angle Formulae

            Question 4

            Marks: 5

              Assess your score
                

              Question 5

              Marks: 5

                Assess your score
                  

                Question 6a

                Marks: 2

                  Assess your score
                    
                  Key Concepts
                  Factorising Quadratics

                  Question 6b

                  Marks: 7

                    Assess your score
                      

                    Question 7

                    Marks: 6

                      Assess your score
                        

                      Question 8a

                      Marks: 2

                        Assess your score
                          

                        Question 8b

                        Marks: 4

                          Assess your score
                            

                          Question 8c

                          Marks: 6

                            Assess your score